티스토리 뷰
18352번: 특정 거리의 도시 찾기
첫째 줄에 도시의 개수 N, 도로의 개수 M, 거리 정보 K, 출발 도시의 번호 X가 주어진다. (2 ≤ N ≤ 300,000, 1 ≤ M ≤ 1,000,000, 1 ≤ K ≤ 300,000, 1 ≤ X ≤ N) 둘째 줄부터 M개의 줄에 걸쳐서 두 개
www.acmicpc.net
문제
어떤 나라에는 1번부터 N번까지의 도시와 M개의 단방향 도로가 존재한다. 모든 도로의 거리는 1이다.
이 때 특정한 도시 X로부터 출발하여 도달할 수 있는 모든 도시 중에서, 최단 거리가 정확히 K인 모든 도시들의 번호를 출력하는 프로그램을 작성하시오. 또한 출발 도시 X에서 출발 도시 X로 가는 최단 거리는 항상 0이라고 가정한다.
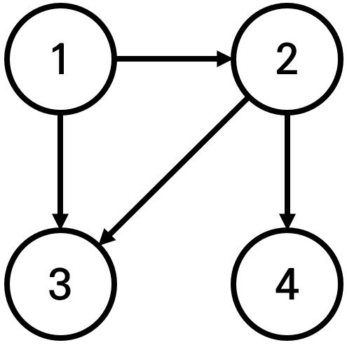
예를 들어 N=4, K=2, X=1일 때 다음과 같이 그래프가 구성되어 있다고 가정하자.

이 때 1번 도시에서 출발하여 도달할 수 있는 도시 중에서, 최단 거리가 2인 도시는 4번 도시 뿐이다. 2번과 3번 도시의 경우, 최단 거리가 1이기 때문에 출력하지 않는다.
입력
첫째 줄에 도시의 개수 N, 도로의 개수 M, 거리 정보 K, 출발 도시의 번호 X가 주어진다. (2 ≤ N ≤ 300,000, 1 ≤ M ≤ 1,000,000, 1 ≤ K ≤ 300,000, 1 ≤ X ≤ N) 둘째 줄부터 M개의 줄에 걸쳐서 두 개의 자연수 A, B가 공백을 기준으로 구분되어 주어진다. 이는 A번 도시에서 B번 도시로 이동하는 단방향 도로가 존재한다는 의미다. (1 ≤ A, B ≤ N) 단, A와 B는 서로 다른 자연수이다.
출력
X로부터 출발하여 도달할 수 있는 도시 중에서, 최단 거리가 K인 모든 도시의 번호를 한 줄에 하나씩 오름차순으로 출력한다.
이 때 도달할 수 있는 도시 중에서, 최단 거리가 K인 도시가 하나도 존재하지 않으면 -1을 출력한다.
최단 경로는 다익스트라 알고리즘을 사용하지만, 이번 문제는 각 도시 사이의 거리가 모두 1로 같으므로 BFS 알고리즘을 사용할 수 있다. 처음에는 DFS 알고리즘으로 풀어봤는데, 깊이가 같은 도시(거리가 1만큼 떨어진 도시, 2만큼 떨어진 도시···)들에 같은 값을 대입해야 하므로 너비 우선 탐색인 BFS를 사용해야 적절하다. 시작 도시에서 점점 멀어질 수록 1을 더해가는 것이므로 해당 정점 바로 전의 정점(tmp) 거리에 1을 더하면 된다.
인접 배열으로 풀었다가 메모리 초과가 떴었는데, 최대 도시의 개수가 큰 숫자이므로 공간 낭비가 심하기 때문에 메모리 초과가 떴던 것 같다. 인접 배열이 구현하기 훨씬 편하기 때문에 습관적으로 인접 배열을 사용하게 되는데, 앞으로는 인접 리스트를 자주 사용해 봐야겠다..
package baekjoon;
import java.util.ArrayList;
import java.util.LinkedList;
import java.util.Queue;
import java.util.StringTokenizer;
import java.io.IOException;
import java.io.BufferedReader;
import java.io.InputStreamReader;
public class B_18352 {
static ArrayList<Integer>[] graph;
static int[] root;
static int N, M, K, X;
public static void main(String[] args) throws IOException {
BufferedReader br = new BufferedReader(new InputStreamReader(System.in));
StringTokenizer st = new StringTokenizer(br.readLine());
StringBuilder sb = new StringBuilder();
N = Integer.parseInt(st.nextToken()); // 도시의 개수
M = Integer.parseInt(st.nextToken()); // 도로의 개수
K = Integer.parseInt(st.nextToken()); // 거리 정보
X = Integer.parseInt(st.nextToken()) - 1; // 출발 도시의 번호
graph = new ArrayList[N];
root = new int[N];
for(int i=0;i<N;i++)
graph[i] = new ArrayList<Integer>();
for(int i=0;i<M;i++) {
st = new StringTokenizer(br.readLine());
int a = Integer.parseInt(st.nextToken()) - 1;
int b = Integer.parseInt(st.nextToken()) - 1;
graph[a].add(b);
}
BFS(X);
boolean check = false;
for(int i=0;i<N;i++)
if(root[i] == K && X != i) {
System.out.println(i + 1);
check = true;
}
if(check == false)
// check가 false라면 if문이 한 번도 실행되지 않은 것이므로 최단 거리가 K인 도시가 존재하지 않음
System.out.print(-1);
}
static void BFS(int start) {
Queue<Integer> q = new LinkedList<>();
q.add(start);
root[start] = 0;
while(!q.isEmpty()) {
int tmp = q.poll();
for(int i : graph[tmp])
if(root[i] == 0) {
q.add(i);
root[i] = root[tmp] + 1;
}
}
}
}'algorithm > BOJ' 카테고리의 다른 글
| [백준 알고리즘/BOJ] 자바(java) 1389번 케빈 베이컨의 6단계 법칙 (0) | 2021.08.22 |
|---|---|
| [백준 알고리즘/BOJ] 자바(java) 2503번 숫자 야구 (0) | 2021.08.21 |
| [백준 알고리즘/BOJ] 자바(java) 4963번 섬의 개수 (0) | 2021.08.16 |
| [백준 알고리즘/BOJ] 자바(java) 1260번 DFS와 BFS (0) | 2021.08.14 |
| [백준 알고리즘/BOJ] 자바(java) 2606번 바이러스 (0) | 2021.08.10 |