티스토리 뷰
https://www.acmicpc.net/problem/1516
1516번: 게임 개발
첫째 줄에 건물의 종류 수 N(1 ≤ N ≤ 500)이 주어진다. 다음 N개의 줄에는 각 건물을 짓는데 걸리는 시간과 그 건물을 짓기 위해 먼저 지어져야 하는 건물들의 번호가 주어진다. 건물의 번호는 1부
www.acmicpc.net
문제
숌 회사에서 이번에 새로운 전략 시뮬레이션 게임 세준 크래프트를 개발하기로 하였다. 핵심적인 부분은 개발이 끝난 상태고, 종족별 균형과 전체 게임 시간 등을 조절하는 부분만 남아 있었다.
게임 플레이에 들어가는 시간은 상황에 따라 다를 수 있기 때문에, 모든 건물을 짓는데 걸리는 최소의 시간을 이용하여 근사하기로 하였다. 물론, 어떤 건물을 짓기 위해서 다른 건물을 먼저 지어야 할 수도 있기 때문에 문제가 단순하지만은 않을 수도 있다. 예를 들면 스타크래프트에서 벙커를 짓기 위해서는 배럭을 먼저 지어야 하기 때문에, 배럭을 먼저 지은 뒤 벙커를 지어야 한다. 여러 개의 건물을 동시에 지을 수 있다.
편의상 자원은 무한히 많이 가지고 있고, 건물을 짓는 명령을 내리기까지는 시간이 걸리지 않는다고 가정하자.
입력
첫째 줄에 건물의 종류 수 N(1 ≤ N ≤ 500)이 주어진다. 다음 N개의 줄에는 각 건물을 짓는데 걸리는 시간과 그 건물을 짓기 위해 먼저 지어져야 하는 건물들의 번호가 주어진다. 건물의 번호는 1부터 N까지로 하고, 각 줄은 -1로 끝난다고 하자. 각 건물을 짓는데 걸리는 시간은 100,000보다 작거나 같은 자연수이다. 모든 건물을 짓는 것이 가능한 입력만 주어진다.
출력
N개의 각 건물이 완성되기까지 걸리는 최소 시간을 출력한다.
일반적인 위상 정렬에서 임계 경로를 구하는 문제다.
임계 경로를 구하기 위해 Math.max를 이용해 최대값을 갱신한다.

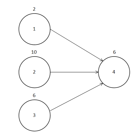
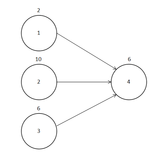
예를 들어 위의 그림처럼 입력이 들어온 경우,
4 이전의 원소들 중 가장 시간이 오래 소요되는 것을 선택해 4의 시간 6과 더해야 한다.
즉 4의 indegree를 1씩 감소하는 과정에서 4의 결과를 갱신해야 한다.
8(2+6), 16(10+6), 12(6+6)를 비교하며 가장 큰 값을 찾는 것이다.
나는 처음에 문제를 잘못 이해해서, 건물을 동시에 지을 수 없다고 생각했다.
1,2,3 건물을 따로 짓고 마지막에 4 건물을 짓는다고 생각해
4의 결과가 2+10+6+6=24인줄 알았다.
(다시 읽어보니 문제에 동시에 지을 수 있다고 적혀있다.. 문제를 꼼꼼히 읽자;)
그런데 건물이 동시에 지어질 수 있기 때문에
1,2,3 건물중 가장 시간이 오래 걸리는 건물인 2번 건물이 지어지면 1,3 건물도 이미 지어졌을 것이다.
이 경우만 고려해준다면 어렵지 않게 풀 수 있다.
문제를 푸는 것보다 문제를 이해하는 데에 시간이 더 오래걸렸던 문제다.
import java.io.*;
import java.util.*;
public class Main {
public static void main(String[] args) throws IOException {
BufferedReader br = new BufferedReader(new InputStreamReader(System.in));
StringBuilder sb = new StringBuilder();
StringTokenizer st;
int N = Integer.parseInt(br.readLine());
int time[] = new int[N + 1];
int indegree[] = new int[N + 1];
ArrayList<Integer> list[] = new ArrayList[N + 1];
for(int i=1;i<=N;i++)
list[i] = new ArrayList<>();
for(int i=1;i<=N;i++) {
st = new StringTokenizer(br.readLine());
time[i] = Integer.parseInt(st.nextToken());
while(st.hasMoreTokens()) {
int pre = Integer.parseInt(st.nextToken());
if(pre == -1)
break;
indegree[i]++;
list[pre].add(i);
}
}
Queue<Integer> q = new LinkedList<>();
int[] result = new int[N + 1];
for(int i=1;i<=N;i++)
if(indegree[i] == 0) {
q.offer(i);
result[i] = time[i];
}
while(!q.isEmpty()) {
int idx = q.poll();
for(int i : list[idx]) {
// 이전 원소 중 가장 짓는데 오래 걸리는 원소의 시간 + 자신의 시간
result[i] = Math.max(result[i], result[idx] + time[i]);
if(--indegree[i] == 0)
q.offer(i);
}
}
for(int i=1;i<=N;i++)
sb.append(result[i]).append('\n');
System.out.println(sb);
}
}
'algorithm > BOJ' 카테고리의 다른 글
| [백준/BOJ] 2870번 수학숙제 자바 풀이 (1) | 2022.12.10 |
|---|---|
| [백준/BOJ] 1543번 문서 검색 자바 풀이 (0) | 2022.12.10 |
| [백준/BOJ] 14567번 선수과목 (Prerequisite) 자바 풀이 (0) | 2022.11.16 |
| [백준/BOJ] 2252번 줄 세우기 자바 풀이 (0) | 2022.11.16 |
| [백준/BOJ] 10816번 숫자 카드 2 자바 풀이 (0) | 2022.11.15 |